ГБУЗ "Краевая детская клиническая больница №1"

Крупнейшее детское лечебное учреждение на Дальнем востоке

Лечим детей профессионально, с любовью и вниманием!

Версия для слабовидящих

Адрес: г. Владивосток, пр-т Острякова, 27

Телефон: (423)260-42-78, 244-67-24, 245-56-76

Дежурный администратор: +7(991)069-89-06

Решаем вместе
Недовольны работой больницы?

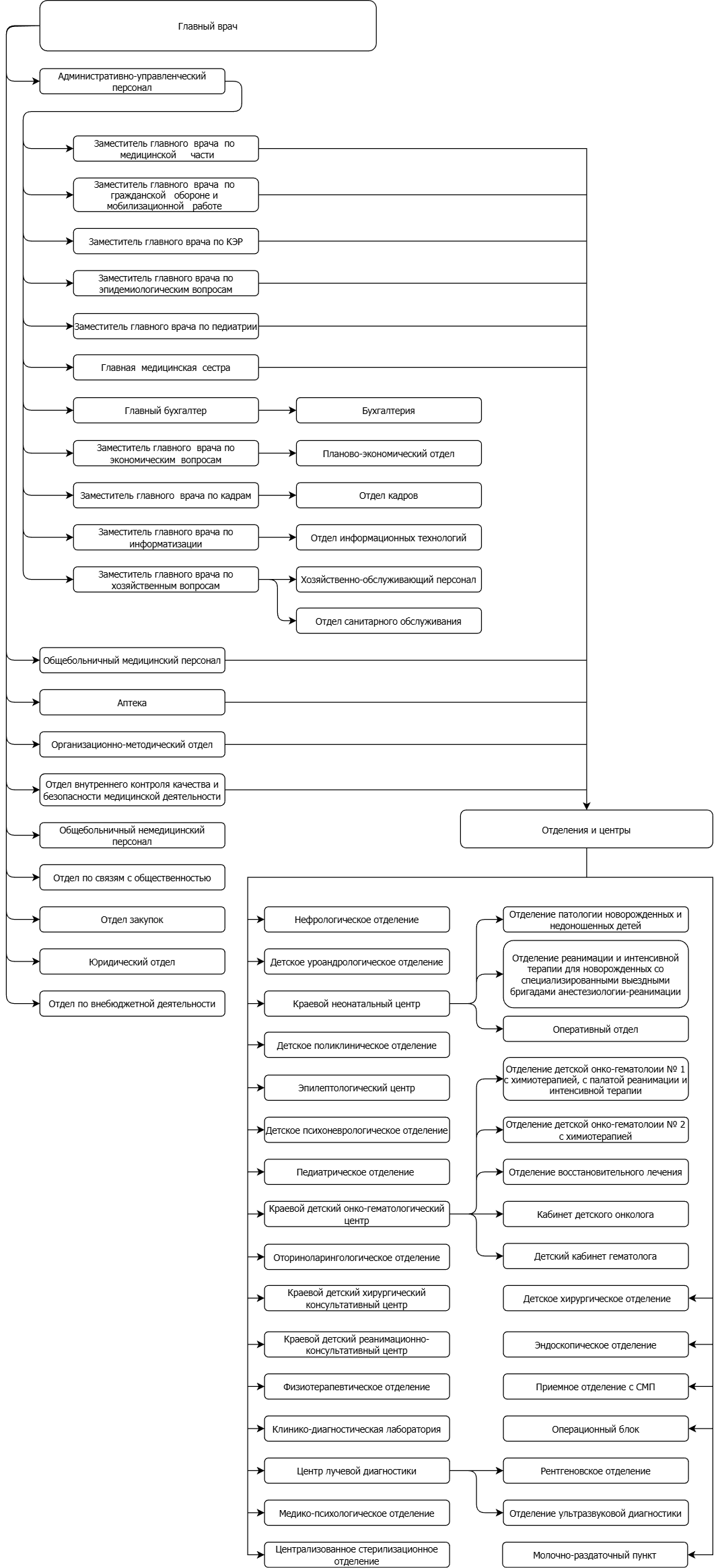
Структура

Структура в формате pdf (для скачивания)

Скачать (74,6 КБ)